Методы испытаний по оценке пожароопасных свойств неметаллических материалов в пассажирских железнодорожных вагонах
Российские стандарты устанавливают требования к материалам, используемым в железнодорожном транспорте, включая показатели горючести, дымообразования и токсичности продуктов горения. Это позволяет производителям и эксплуатирующим организациям соответствовать законодательным нормам и обеспечивать безопасность перевозок. Таким образом, определение пожароопасных свойств неметаллических материалов является необходимым этапом проектирования и эксплуатации пассажирских железнодорожных вагонов, направленным на повышение уровня противопожарной защиты и снижение рисков возникновения чрезвычайных ситуаций.
В Российской Федерации действует ГОСТ 34805-2021 «Вагоны пассажирские локомотивной тяги. Требования пожарной безопасности. Методы испытаний по оценке пожароопасных свойств неметаллических материалов». Неметаллические материалы, применяемые при изготовлении вагонов для конструкций внутреннего оборудования вагонов, должны иметь документ, подтверждающий соответствие показателей требованиям пожарной безопасности.
Испытаниям подвергаются материалы, предназначенные для:
- шумо-, вибро-, термоизоляции кузова;
- подшивки термоизоляции крыши, термоизоляции крыши при отсутствии ее подшивки, для корпусов воздуховодов вентиляционной установки, потолков;
- перегородок, багажных полок, каркасов спальных полок и кресел, рундуков, мебели, обшивки стен и дверей, закладных деталей, обрешетки стен, обрешетки потолков и крыши, труб водоснабжения и водяного пожаротушения;
- облицовочного материала потолков, поверхностей стен, перегородок, мебели, декоративных покрытий;
- гидроизоляции термоизоляции, гидроизоляции диффузоров, компенсирующих вставок и звукоизолирующих элементов вентустановки, звукоизоляции потолков, термоизоляции труб, баков водоснабжения, труб отопления, воздуховодов;
- занавесей, штор, обивочных материалов спальных полок и кресел;
- напольных покрытий полов, в том числе ковровых.
Группа горючести материалов, индекс распространения пламени, коэффициент дымообразования, показатель токсичности продуктов горения определяется согласно ГОСТ 12.1.044-2018 «Пожаровзрывоопасность веществ и материалов. Номенклатура показателей и методы их определения».
Группа воспламеняемости для напольных покрытий полов, в том числе ковровых, определяется по ГОСТ 30402-96 «Материалы строительные. Метод испытания на воспламеняемость». Воспламеняемость текстильных материалов определяется нормативным документом, действующим на территории государства, принявшего стандарт. В Российской Федерации действует ГОСТ Р 50810-95 «Пожарная безопасность текстильных материалов. Ткани декоративные. Метод испытания на воспламеняемость и классификация».
Индекс распространения пламени по поверхности материалов для тканей допускается определять в соответствии с методом, изложенным в приложении А ГОСТ 34805-2021. Метод испытаний по определению индекса распространения пламени по поверхности материалов для тканей предназначен для определения способности тканей распространять пламя по поверхности. Степень сопротивляемости материалов распространению пламени оценивают величиной индекса, рассчитываемого по результатам проведенных испытаний.
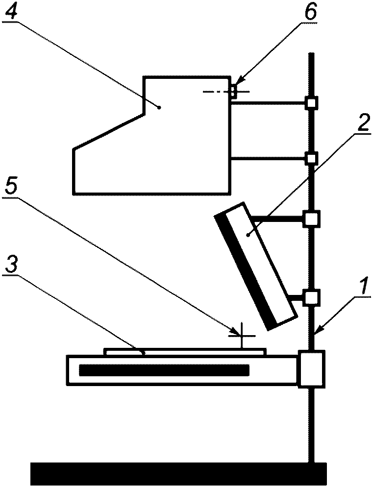
Для определения индекса распространения пламени по поверхности материалов используют установку (рис.2).

Рис. 2 Схема установки для определения индекса распространения пламени по поверхности тканей:1 - стойка; 2 - электрическая радиационная панель; 3 - держатель образца; 4 - вытяжной зонт; 5 - термоэлектрический преобразователь; 6 - запальная горелка.
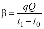
В ходе испытаний измеряют начальную температуру дымовых газов (t0) в верхней части вытяжного зонта. Затем зажигают щелевую калибровочную горелку, регулируя подачу газа с расходом (0,030 ± 0,001) л/с. Через 10 мин горения регистрируют установившуюся температуру дымовых газов (t1) в вытяжном зонте. Вычисляют тепловой коэффициент установки (Вт/°С), по формуле:

где q - удельная теплота сгорания газа, (Дж/л);
Q - расход газа щелевой калибровочной горелки, л/с.
Для каждого образца рассчитывают индекс распространения пламени (I) по формуле:

Среднее арифметическое значение индекса пяти испытаний образцов принимают за индекс распространения пламени исследуемого материала.
Значение индекса распространения пламени следует применять для классификации материалов:
- не распространяющие пламя по поверхности - индекс распространения пламени равен 0;
- медленно распространяющие пламя по поверхности - индекс распространения пламени свыше 0 до 20 включительно;
- быстро распространяющие пламя по поверхности - индекс распространения пламени свыше 20.
Внутривагонные конструкции из материалов, относящихся к группам «негорючие» и «трудногорючие», могут быть изготовлены как из негорючих (трудногорючих) материалов, так и комбинированными с обеспечением соответствующих показателей пожарной опасности для данной конструкции, что должно подтверждаться документом (протокол испытаний, экспертное заключение или сертификат).
Оценка пожарной опасности спальных полок пассажирских вагонов определяется в соответствии с методом оценки пожарной опасности спальных полок пассажирских вагонов по ГОСТ 34805-2021.
Испытаниям подвергаются спальные полки или их макеты с размерами сиденья и спинки не менее 400x400 мм, соответствующие по исполнению реальным конструкциям.
В качестве источника зажигания используется 100 г газетной бумаги, предварительно высушенной в течение 3 ч в вентилируемом сушильном шкафу при температуре (70±5) °С.
Газетную бумагу формируют в виде «подушки» следующим образом: один лист (размерами около 600x420 мм) складывают по середине параллельно меньшей стороне, остальные листы мнут по отдельности и укладывают между половинками сложенного листа. Сложенный лист с открытой стороны скрепляют при помощи металлических скрепок или клея. Таким образом, получается «подушка» размером 390x270 мм.
До начала опыта такую же «подушку» необходимо проверить на продолжительность горения, для чего ее следует положить на асбестовую плиту толщиной 5 мм, длиной 600 мм и шириной 500 мм. На этой плите после зажигания с четырех углов «подушка» должна гореть в течение (3,0±0,5) мин.
Испытания проводят в помещении объемом не менее 45 м3 с принудительной вентиляцией, при этом скорость движения воздушного потока в зоне расположения объектов испытаний не должна превышать 0,3 м/с.
«Подушка» из газетной бумаги размещается на спальной полке так, чтобы одна из ее продольных сторон соприкасались со спинкой и обеспечивалось ее плоское лежание на поверхности.
«Подушка» поджигается с четырех сторон и наблюдается процесс горения с его фиксацией через каждые 30 с.
При отсутствии защитной плиты из негорючего материала под спальной полкой необходимо провести дополнительный опыт с использованием газетной «подушки», помещенной на негорючую пластину, которая кладется под спальную полку на пол на расстоянии от нижней поверхности (350±10) мм.
Оценку пожарной опасности конструкции проводят по результатам испытаний одного образца. Образец конструкции считается выдержавшим испытание, если соблюдаются следующие условия:
- самостоятельное горение прекращается не позднее 10 мин после начала опыта;
- в процессе опыта не наблюдается падение капель горящего расплава.


